La proporcionalidad es la relación entre dos valores.
Cuando hablamos de relación nos referimos, efectivamente, a las fracciones. Las fracciones sirven para muchas cosas pero en este caso van a estar un poco ocultas...
Imaginemos que para que una casa vacía se considere que esté encantada hacen falta al menos tres fantasmas y que tenemos un pueblo con 7 casas abandonadas.¿Cuántos fantasmas hacen falta para que las siete casas estén encantadas? Pues muy sencillo, como los fantasmas no se pueden detectar pues ninguna casa está encantada. Pero como la pregunta es para hacer mates la vamos a responder usando mates:
 Pues así sería una regla de tres, pones la primera condición, escribes debajo el dato que tienes en el lado que le toca y una variable (un valor desconocido) en el otro lado. Multiplicas en cruz (3 y 7) y divides por el valor que no hemos usado (1) obteniendo que hacen falta 21 fantasmas para encantar 7 casas. Pero ¿qué significa que un valor es proporcional a otro? Significa que puedes obtener el otro valor multiplicando por un número, es decir:
En este caso el cuatro es proporción del dos en un número que multiplica éste. El valor al que le he llamado número es un factor de proporcionalidad. Pero nosotros que ya somos especialistas en fantasmas no nos vamos a asustar fácilmente con éstos nombres ni con cosas más complicadas. ¿Qué hacemos entonces con las fracciones? Pues lo mismo:
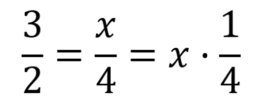
He llamado x a un número al que hay que multiplicar un cuarto para obtener tres medios, para que lo veas más claro:
Bien, pues ahora podemos hacer uso de las propiedades de las fracciones y calcular el valor de la x que es el parámetro de proporcionalidad :
Viendo así que claramente x vale 6, ahora vamos a resolver el problema de los fantasmas y las casas encantadas:
Y vemos que claramente son 21 fantasmas. Pero por si te preguntas como se puede hacer sin usar propiedades de fracciones (no porque te de miedo sino por pereza) pues tenemos otra opción:
Que esancialmente es despejar la x, cosa que está explicado en la entrada de ecuaciones de primer grado. Espero que te haya sido de utilidad. Y espero que no te hayas asustado mucho.
¡Buh!
¡Nos vemos en otra ocasión!





