Las ecuaciones son funciones de las que obtenemos un resultado.
Si cogemos la función f(x)=3x+2-5x y queremos saber cuánto vale x cuando f(x)=3. El resultado de la ecuación resultante es la ecuación 3x+2-5x=3 y su resultado: x=-1/2 pero ¿cómo he calculado x=-1/2?
He seguido unos pasos sencillos de operaciones con números enteros como son la suma, la resta, la división y otras propiedades como la propiedad distributiva. Para poder entender estos pasos son necesarias unas reglas de juego:
- Sólo se pueden sumar números de elementos iguales, es decir, números con números y números con x con números con x
- Si la x tiene exponente sólo puedes sumar los números que multipliquen al mismo exponente
- Los dos lados de la igualdad quedan igual si los multiplicas por el mismo número a ambos lados.
 Por la primera y segunda regla sólo podemos sumar números de elementos iguales, osea que solo podemos sumar:
Como puedes ver, las variables (los valores que contienen la x) están multiplicadas por 1 en caso de no tener un número delante. Ahora, para resolver una ecuación como la que he puesto en el ejemplo heavy necesitas saber resolver ecuaciones de segundo grado que están descritas en la entrada de Polinomios que es un poco más avanzado de lo que estamos viendo ahora. 
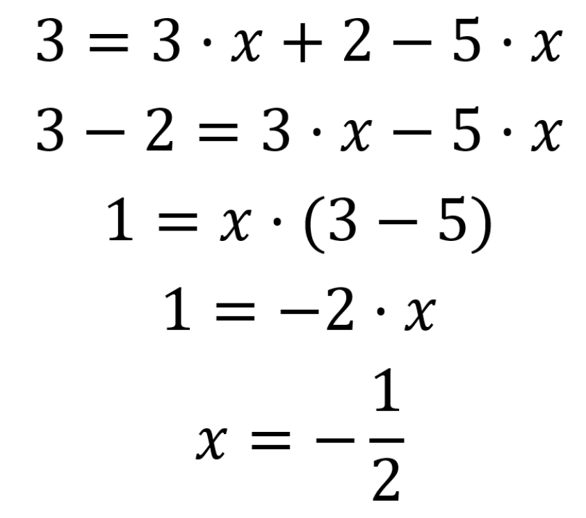
Hoy sin embargo estoy hablando de ecuaciones de primer grado y para resolver una ecuación de primer grado lo que tienes que hacer es: dejar las x a un lado y dividir los dos lados del igual por el mismo número:
Primero dejamos las x en un lado. Simplificamos y por último dividimos entre el mismo número los dos lados:
Resultado que se obtiene fácil con los conocimientos de fracciones que tenemos de la entrada de Fracciones. Espero que te haya sido de ayuda y espero que puedas hacer un buen ejercicio de ecuaciones de primer grado con estos consejos.¡Te veo en la próxima entrada!





